当前位置:肿瘤瞭望>资讯>正文

李晶教授分享前列腺癌液体活检ASCO研究进展丨浦江论坛·ASCO meets CSCO

作者:肿瘤瞭望   日期:2023/7/3 11:25:39  浏览量:10420

肿瘤瞭望版权所有,谢绝任何形式转载,侵犯版权者必予法律追究。

2023浦江前列腺癌高峰论坛暨中国抗癌协会男性生殖系统肿瘤专委会(CACA-GO)前列腺癌论坛、中国临床肿瘤学会前列腺癌专委会(CSCO-PC)年会、中国前列腺癌研究协作组(CPCC)年会于2023年6月12—18日在上海成功举行。本次大会特别设置了“ASCO meets CSCO”的专场报告,邀请中青年专家对ASCO研究进展进行精彩报告和点评。海军军医大学转化医学研究中心李晶教授在大会上带来了“ASCO前列腺癌转化研究解读”的精彩报告。

编者按:2023浦江前列腺癌高峰论坛暨中国抗癌协会男性生殖系统肿瘤专委会(CACA-GO)前列腺癌论坛、中国临床肿瘤学会前列腺癌专委会(CSCO-PC)年会、中国前列腺癌研究协作组(CPCC)年会于2023年6月12—18日在上海成功举行。本次大会特别设置了“ASCO meets CSCO”的专场报告,邀请中青年专家对ASCO研究进展进行精彩报告和点评。海军军医大学转化医学研究中心李晶教授在大会上带来了“ASCO前列腺癌转化研究解读”的精彩报告。
 
李晶教授在接受《肿瘤瞭望》的采访中,进一步分享其对前列腺癌液体活检应用前景的看法:
 
“基因检测在前列腺癌领域的应用非常广泛,从今年ASCO大会报道来看,检测人群的样本量越来越大,有一些研究的样本量达到成千上万,包括原发灶和转移灶的肿瘤组织,或者血液样本,以及不同时间点的检测样本。液体活检作为基因检测中比较特殊的一种检测手段,主要通过采集患者血液进行精准的肿瘤定性或定位,对指导患者的预后判断、治疗选择是非常有意义的。
 
今年ASCO大会报道的研究中,有针对同时检测循环肿瘤细胞(CTC)和循环肿瘤DNA(ctDNA)的新型测序Panel(HERCULES),可以满足临床上很多患者需要进行CTC和ctDNA的生物学特征以及基因突变频谱等研究的客观需求。此外,液体活检的灵敏度非常高,甚至可以在1ng的细胞游离DNA(cfDNA)中检测到ctDNA。随着检测技术的发展成熟、研究数据的逐渐积累,液体活检会趋向于更精准的方向发展,检测的起始量更少,对患者的指导意义更大。我认为液体活检应用于前列腺癌领域的未来是值得期待的。”
 
本次浦江前列腺癌高峰论坛上,李晶教授介绍和解读了多项ASCO前列腺癌领域的转化研究,涵盖诊断、治疗和预后;其中至少有4项转化研究涉及液体活检。
 
真实世界内分泌治疗患者ctDNA中的AR突变景观(摘要号:5061)
 
雄激素受体(AR)改变可在去势治疗和AR靶向药物的选择性压力下发生进化。在转移性、去势耐受性前列腺癌症(mCRPC)中,AR突变景观和靶向治疗仍是一个尚未探索的领域。这项真实世界研究,采用二代测序技术(NGS),在接受阿比特龙(abi)、恩扎卢胺(enza)或abi+enza治疗≥6个月的转移性去势抵抗性前列腺癌(mCRPC)患者的ctDNA检测中评价AR的突变景观。
 
结果检测到了一些致病性/可能致病性AR突变,最常见的突变是Leu702His(abi组、enza组和abi+enza组:18%、32%和25%)、Thr878Ala(34%、3.6%和21%)、His875Tyr(7%、12%和8.5%)。这些突变对未来的临床决策和药物研发具有指示意义。
 
 
HERCULES:一种前列腺癌CTC和ctDNA平行测序Panel(摘要号:5036)
 
外周血ctDNA分析为患者提供了一种非侵入性液体活检的基因组分析手段。当从同一血液样本中捕获的单个CTC与ctDNA图谱相结合时,会产生额外的前列腺癌相关基因组数据,但目前还没有可以统一应用于两种分析物的检测方法。HERCULES是第一个能够对ctDNA和CTC进行平行基因组分析的前列腺癌特异性靶向测序Panel。
 
 
这项初步的验证研究显示,HERCULES检测体细胞变异显示了较高的敏感性。在等位基因频率为1%、0.25%和0.1%的DNA对照样品中,HERCULES检测的敏感性分别为100%、75%和50%。在来自8例患者的16个匹配cfDNA和单个CTC样本中,20ng cfDNA的读取覆盖深度>50000x,单个CTC的读取覆盖厚度>1500x,HERCULES检测到共享变异(每个样本的平均N=6.1)和独特变异。
 
 
基于mFAST-SeqS的cfDNA非整倍体评分及其作为ARSI治疗的早期反应标志物(摘要号:5058)
 
ctDNA是前列腺癌领域有前景的预后和预测标志物,已有新型技术科检测和表征cfDNA总库中的ctDNA,例如经过改良的快速非整倍体筛选检测-测序系统(mFAST-SeqS)。这种检测系统可以使用全基因组非整倍体评分(GWA)对样品的ctDNA进行定量,而且在cfDNA低至1ng的情况下仍可检测到ctDNA。
 
这项研究显示,基于cfDNA的mFAST SeqS全基因组非整倍体评分,可以作为mCRPC患者对AR通路抑制剂(ARSI)治疗反应的预测工具。基线、早期GWA<5的患者相较于GWA>5的患者有更好的生存获益。
 
 
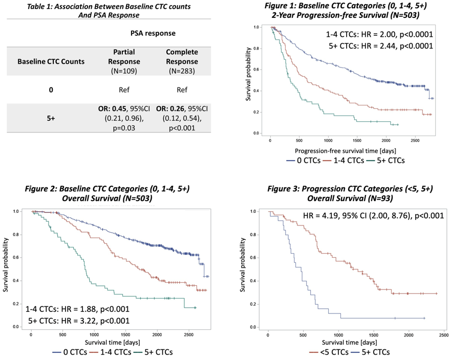
SWOG S1216:CTC计数作为mHSPC患者OS预后指标(摘要号:5080)
 
SWOG S1216是一项雄激素剥夺疗法(ADT)联合cyp17抑制剂orteronel对比ADT联合比卡鲁胺用于转移性激素敏感性前列腺癌(mHSPC)治疗的Ⅲ期临床试验。2020年ASCO曾报道基线CTC计数是PSA缓解和疾病进展的预后指标。这次进一步报道了基线CTC计数与PSA缓解、无进展生存期(PFS)和总生存期(OS)的相关性。
 
结果显示:基线CTC>5患者的获得PSA完全缓解的可能性相较于CTC为0的患者更低;并且更有可能发生疾病进展或死亡。相较于CTC 5+患者,CTC<5患者的OS预后更好(HR 4.19,95%CI:2.00~8.76,P<0.001)。
 
 
李晶
海军军医大学转化医学研究中心副主任,生物信息学研究室主任
国家“优青”、国家重点研发计划青年科学家、上海市曙光、启明星人才
美国圣路易斯华盛顿医学院、美国Weill Cornell医学院访问学者。
中华医学会泌尿外科学分会基础学组;
承担国家重点研发计划青年科学家项目、国家优秀青年基金项目、上海市曙光人才计划、上海市启明星人才项目、扬帆计划人才项目、全军后勤科研等项目,基金总额700余万。
5年来在Nature,Nature Genetics,Cancer Letters,International Journal of Cancer,Neoplasia,BMC Genomics,European Urology等国际核心期刊相继发表论文16篇,影响因子187.
参编《吴阶平泌尿外科学》、《前列腺癌化疗共识》、《表观遗传学》科普书籍

本内容仅供医学专业人士参考


前列腺癌

分享到: 更多